Menu
  
Tin tuyển sinh

Kỳ thi THPT quốc gia 2016: Đáp án chính thức môn Toán

01/07/2016
Sáng 1/7, thí sinh cả nước chính thức bước vào kỳ thi THPT quốc gia 2016 với môn thi đầu tiên - môn Toán. Nhằm đáp ứng nhu cầu thông tin của quý phụ huynh và các thí sinh về kỳ thi quan trọng này, UEF sẽ thường xuyên cập nhật gợi ý giải đề thi, nhận xét đề thi, đáp án chính thức cũng như các thông tin liên quan đến quá trình thi tuyển.
Thông tin mới nhất, khoảng 9h35 những thí sinh đầu tiên đã rời phòng thi môn Toán. Hầu hết các ý kiến đều cho rằng đề Toán từ khó...vừa đến quá khó.
Tại điểm thi Trường ĐH Vinh, Nghệ An, thí sinh Nguyễn Xuân Thông, trường THPT Hà Huy Tập - một trong ba thí sinh ra sớm nhất tại điểm thi này cho biết cấu trúc đề thi môn Toán không có nhiều thay đổi so với các năm trước, nhưng phần lý thuyết hơi nặng, chiếm 60-70% đề thi, có hai câu hỏi khó ở câu số 8 và 10 Thông không làm được. (Theo TTO)

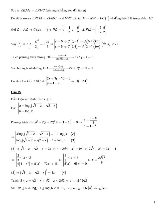
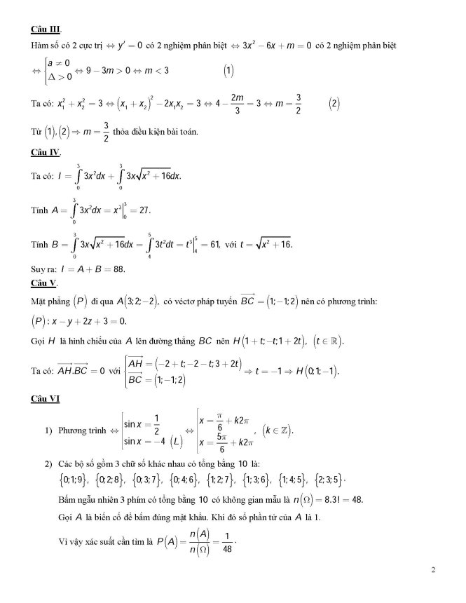
Dưới đây là đề thi và đáp án chính thức của môn Toán - kỳ thi THPT quốc gia 2016:
Toán là môn thi đầu tiên trong kỳ thi THPT quốc gia 2016
> Đề thi môn Toán - kỳ thi THPT Quốc gia 2016
Đề Toán năm nay gồm gồm 10 câu, có phương trình mũ, logarit, số phức, tích phân, khảo sát hàm số.... Một số thí sinh nhận định đề không dài, nhưng khó hơn năm trước, riêng câu cuối thì "lạ", "chưa từng gặp".

 

(Ảnh: Trần Ngọc Nam)

> Gợi ý bài giải môn Toán - kỳ thi THPT Quốc gia 2016

(Nguồn TTO)
 
 
Trung tâm TV-TS-TT
TIN LIÊN QUAN